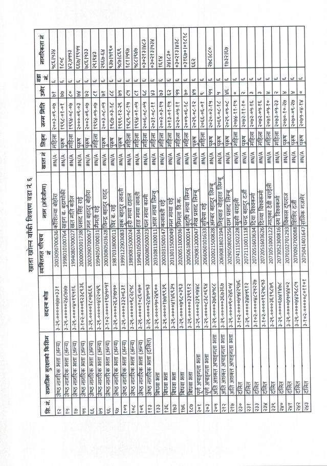
समाचार
सामाजिक सुरक्षा भत्ताको खाता खोल्न छुट भएकाको विवरण
यस नगरपालिकाबाट सामाजिक सुरक्षा भत्ता पाएका तथा अब पाउने सबैलाई माई न.पा. स्थित सानिमा बैंकमा अनिवार्य खाता खोल्नु पर्ने भनिएकोमा निम्न व्यक्तिहरुले हालसम्म पनि खाता खोलेको नपाइएको र बैंक खाता नभएकालाई रकम भुक्तानी नहुने भएकोले , खाता नखोल्ने सबैले यथाशिघ्र सानिमा बैंकमा खाता खोलि , खाता नम्बर र आफ्नो नागरिकताको फोटोकपी सम्बन्धित वडा तथा नगरपालिकामा बुझाउन हुन अनुरोध गरिन्छ
















